酸碱滴定法的应用
上一节
下一节
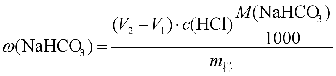
混合碱的分析---双指示剂法
利用两种指示剂在不同等量点的颜色变化,得到两个终点,然后根据两个终点消耗标准溶液的体积和酸的浓度,算出各成分的含量。
1) 烧碱中NaOH与Na2CO3含量的测定

2)纯碱中Na2CO3与NaHCO3含量的测定


