可逆反应与化学平衡
上一节
下一节
化学平衡 Chemical equilibrium
定义: 对于一可逆反应,在一定条件下,当正、逆反应速率相等时,反应体系中各物质浓度或分压不再随时间改变,这种状态称为化学平衡。
化学平衡特点(了解)
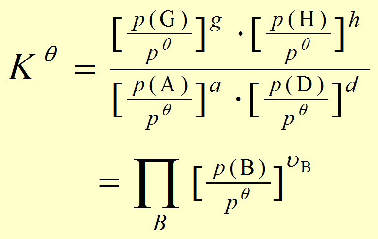
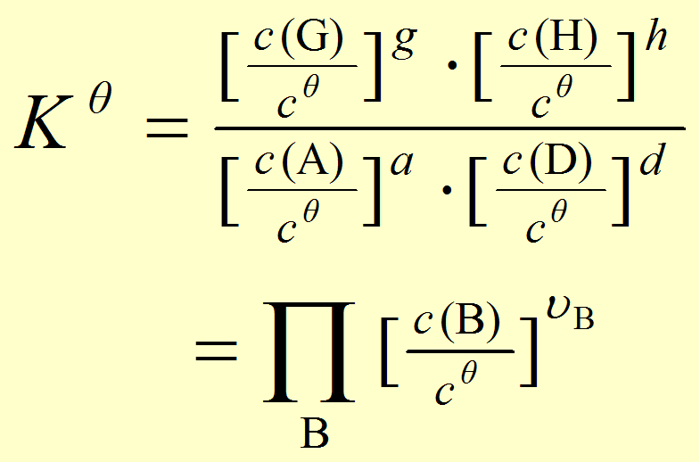
标准平衡常数
气相:
液相


